The model is suggested to describe the temperature dependence of mm-wave and infrared continua absorption in terms of absorption by weakly bound binary complexes. Present approach is applicable to a mixture of water vapor with various gases. It is shown that accurate consideration of mass action law for (H2O)2 dimers and H2O-N2 , H2O-CO2 , and H2O-Ar complexes allows to reproduce temperature dependencies of continua absorption measured at di!erent wavelengths in mixtures containing various amount of water vapor. The model can be generalized to rigorously account for details of potential energy and dipole surfaces relevant to water-water and water-foreign gas interactions.
Papers with the following subject areas are suitable for publication in the Journal of Quantitative Spectroscopy and Radiative Transfer:
As the world’s leading publisher of science and health information, Elsevier serves more than 30 million scientists, students, and health and information professionals worldwide. We are proud to play an essential role in the global science and health communities and to contribute to the advancement of these critical fields. By delivering world-class information and innovative tools to researchers, students, educators and practitioners worldwide, we help them increase their productivity and effectiveness. We continuously make substantial investments that serve the needs of the global science and health communities.
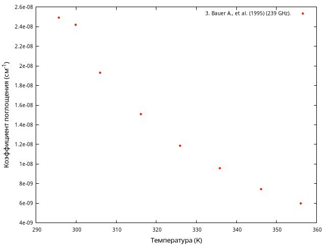
Absolute absorption rates of pure water vapor and mixtures of water vapor and nitrogen have been measured in the atmospheric window at 239 GHz. The dependence on pressure as well as temperature has been obtained. The experimental data are compared with several theoretical or empirical models, and satisfactory agreement is obtained with the models involving a continuum; in the case of pure water vapor, the continuum contribution based upon recent theoretical developments gives good results. The temperature dependence is stronger than that proposed in a commonly used atmospheric transmission model.