Графические ресурсы Графические ресурсы
Guest | Паспорт
 Rus | Eng   
Словарь  |  Помощь
Поиск и просмотр графиков

Поиск и просмотр примитивных и составных графиков в ИС GrafOnto по году публикации и авторам

Примитивный график
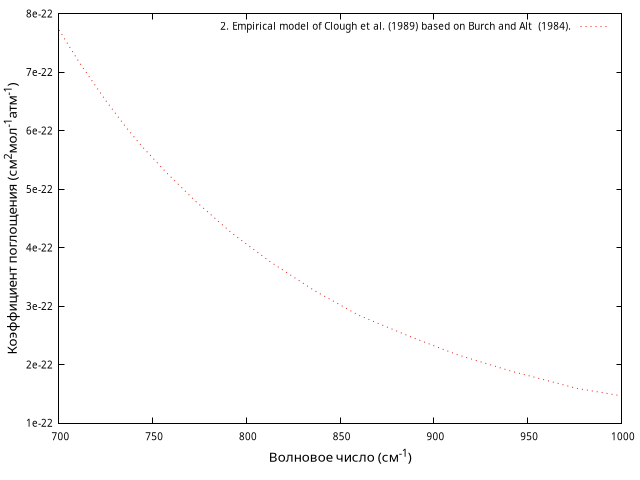
Рисунок 2. Empirical model of Clough et al. (1989) based on Burch and Alt (1984).
The self-broadened continuum absorption coefficient Cs at 296°K as a function of wavenumber.
Clough et al. (1989) (short-dashed line), based on Burch and Alt (1984).
Clough, S. A., Kneizys, F. X., Davies, R., Line shape and the water vapour continuum. Atmos. Res., 23, (3/4), 229-241 1989.
Burch, D. E. and Alt, R. L. Continuum absorption by H2O in the 700-1200 cm-1 and 2400-2800 windows. Report AFGL TR-84-0128. AFGL, Hanscom, AFB, MA 1984.
Библиографическая ссылка
Kilsby C.G., Edwards D.P., Saunders R. W., Foot J.S., Water-Vapour Continuum Absorption In the Tropics: Aircraft Measurements and Model Comparisons , Quarterly Journal of Royal Meteorological Society, 1992, Volume 118, Issue 506 Part A, Pages 715–748, DOI: 10.1002/qj.49711850606.
 
Координатная система (Линейный, Линейный)
Ось абсцисс (X) (Размерность) Волновое число (см⁻¹) Ось ординат (Y) (Размерность) Коэффициент поглощения (см²мол⁻¹атм⁻¹)
Спектральная функция (X) Спектральная функция (Y) Cs Self-broadening Continuum Coefficient (cm2 mol-1 atm-1)
Физические величины Комментарий к графику Дополнительное описание
Вещество H2O Тип данных Подогнанные
Температура Метод измерения (решения), Модель, Аппроксимация  
Давление (полное) Происхождение данных Оцифрованные
Давление (парциальное) Тип источника Цитирующий
Длина пути (L)
Burch D.E., Alt R.L., Continuum absorption by H2O in the 700 - 1200 cm-1 and 2400 - 2800 cm-1 windows, Report AFGL-TR-84-0128 by Ford Aerospace and Communications Corporation, Aeronutronic Division to AFGL, United States Air Force, Hanscom AFB, USA, Massachusetts 01731, 1984, Pages 31.
Плотность (d)
Волновое число (T зависимость)

Поиск примитивного или составного графика в списке статей
Выбор примитивного графика Выбор составного графика
Просмотр составных рисунков


Грант INTAS 00-189
>