Графические ресурсы Графические ресурсы
Guest | Паспорт
 Rus | Eng   
Словарь  |  Помощь
Поиск и просмотр графиков

Поиск и просмотр примитивных и составных графиков в ИС GrafOnto по году публикации и авторам

Примитивный график
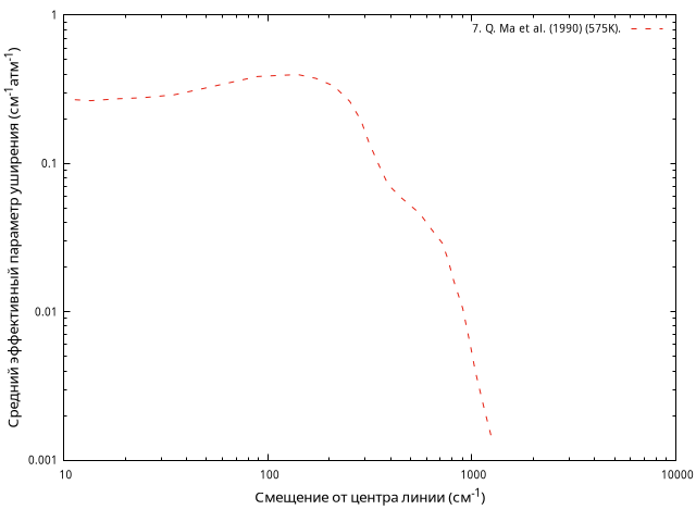
Рисунок 7. Q. Ma et al. (1990) (575K).
Averaged effective broadening-parameter vs displacement from line center calculated (see text) according to the model of Ref. 19.
[19]. Q. Ma and R.H. Tipping, J. Chem. Phys. 93, 7066 (1990).
Библиографическая ссылка
J.M. Hartmann, M.Y. Perrin, Q. Ma and R.H. Tipping, The infrared continuum of pure water vapor: calculations and high temperature measurements, Journal of Quantitative Spectroscopy and Radiative Transfer, 1993, Volume 49, Issue 6, Pages 675-691, DOI: 10.1016/0022-4073(93)90010-F.
 
Координатная система (Логарифмический, Логарифмический)
Ось абсцисс (X) (Размерность) Смещение от центра линии (см⁻¹) Ось ординат (Y) (Размерность) Средний эффективный параметр уширения (см⁻¹атм⁻¹)
Спектральная функция (X) Δσ(cm-1) Спектральная функция (Y) χ(Δσ) (cm-1 atm-1)
Физические величины Комментарий к графику Дополнительное описание
Вещество H2O Тип данных Теоретические
Температура 575 К Метод измерения (решения), Модель, Аппроксимация  
Давление (полное) Происхождение данных Оцифрованные
Давление (парциальное) Тип источника Цитирующий
Длина пути (L)
Ma Q., Tipping R.H. , The atmospheric water continuum in the infrared: Extension of the statistical theory of Rozenkranz, Journal of Chemical Physics, 1990, Volume 93, no. 10, Issue https://doi.org/, Pages 7066-7075, DOI: 10.1063/1.459429, https://doi.org/10.1063/1.459429.
Плотность (d)
Волновое число (T зависимость)

Поиск примитивного или составного графика в списке статей
Выбор примитивного графика Выбор составного графика
Просмотр составных рисунков


Грант INTAS 00-189
>